생활공공기관
도구
- 스마트폰,태블릿 화면크기비교
- 양쪽 윈도우키를 한영한자키로(AutoHotKey)
- 매크로: Robotask Lite
- 파일이름변경: ReNamer Lite
- 파일압축: 반디집
- 공공서식 한글(HWP편집가능, 개인비영리)
- 오피스: 리브레오피스(LibreOffice)
- 텍스트뷰어: 이지뷰어
- PDF: FoxIt리더, ezPDF에디터
- 수학풀이: 울프램 알파 ( WolframAlpha )
- 수치해석: 셈툴, MathFreeOn
- 계산기: Microsoft Mathematics 4.0
- 동영상: 팟플레이어
- 영상음악파일변환: 샤나인코더
- 이미지: 포토웍스
- 이미지: FastStone Photo Resizer
- 화면갈무리: 픽픽
- 이미지 편집: Paint.NET, Krita
- 이미지 뷰어: 꿀뷰
- 국립중앙도서관 소장자료 검색
- KS국가표준인증종합정보센터
- 대한무역투자진흥공사(KOTRA) 해외시장뉴스
- 엔팩스(인터넷팩스발송)
- 구글 드라이브(문서도구)
- MS 원드라이브(SkyDrive)
- 네이버 N드라이브
- Box.com (舊 Box.net)
- Dropbox
- 구글 달력
- 모니터/모바일 픽셀 피치 계산
- Intel CPU, 칩셋 정보
- MS윈도우 기본 단축키
- 램디스크
- 초고해상도 관련
- 게임중독
- 표준시각
- 전기요금표/ 한전 사이버지점
- HWP/한컴오피스 뷰어
- 인터넷 속도측정(한국정보화진흥원)
- IT 용어사전
- 우편번호찾기
- 도로명주소 안내, 변환
- TED 강연(네이버, 한글)
- 플라톤아카데미TV
- 세바시
- 명견만리플러스
- 동아사이언스(과학동아)
- 과학동아 라이브러리
- 사이언스타임즈
- 과학잡지 표지 설명기사
- 칸아카데미
- KOCW (한국 오픈 코스웨어) 공개강의
- 네이버 SW 자료실
- 네이버 SW자료실, 기업용 Free
- 계산기
공공데이터베이스
PC Geek's
코로나19 집계(2021.9.6. 0시기준)/:/ 1375명/:/★ 상세통계가 나오는 날 본문
정부( http://ncov.mohw.go.kr/ ) 첫 발표는 오전 10시를 전후해서 나오고, 그날의 확정발표 보도자료는 오후 2~4시 사이에 나오는 것 같더군요.1 구글 그래프는 미국 날짜가 바뀌는 시각 전후인 각오후 3~5시 정도에 갱신됩니다.
아래 자료의 출처는 정부 사이트, 네이버, 구글입니다. 구글그래프와 복지부사이트는 조금 다를 수 있습니다.
정부발표는 오전자료보다는 오후 정례브리핑자료가 더 상세합니다. 어제자 자료를 반영한 구글 그래프는 그 한두 시간 뒤에 나옵니다.
진정세일까요?

이 병에 걸린 증상이 없더라도 각 보건소와 보건소의 선별진료소, 지자체관계 선별검사소에서는 무료검사합니다.
전국 코로나19 선별진료소 및 임시선별검사소 정보와 전화번호 링크.

* 병원에 입원하거나, 보호자나 간병인자격으로 상주하거나, 입원환자를 병문안할 때, 그 시기의 방역조치수준과 병원 방침에 따라 코로나19 검사결과를 사전 요구할 때가 있습니다. 그때 병원에서 검사받으면 비보험으로 약 2만원 정도를 지출하게 되니, 저렇게 무료검사하는 공공기관에서 검사받고 그 결과문자나 결과지 서류를 내는 것으로 대신할 수 있습니다. 단, 그렇게 하려면 그 기관에서 보내주는 결과통보문자메시지나 서류에 검사받은 사람(피검자)의 실명 이름은 반드시 나와야 하는데, 병원마다 요구하는 기준이 다를 수 있고(표시하라는 내용이 더 있을 수 있고) 보건소 등 검사기관의 결과통보 문자메시지양식이나 서식이 혹시 다를 수 있으니 미리, 결과를 요구하는 병원에 물어보고 또 검사기관에 물어보는 게 좋습니다.
우리나라 일일 검사실적은 최대 40만 건 정도입니다.

개요




위중증환자 전국 350여명. 즉시가용 중환자실은 어제기준 전국 417개.

감염돼 사망한 희생자 통계

확진자와 사망자
국내발생현황 상세: http://ncov.mohw.go.kr/bdBoardList_Real.do
중부권(대전 세종 충남북 전북)2은 127명 (지역인구 735.9만 명/ 면적 2.47만km^2)3 4
남부권(광주 전남 제주)은 41명 (지역인구 399.6만 명/ 면적 1.47km^2 )
동부권(대구 경북 강원)은 106명 (지역인구 664.6만 명/ 면적 3.67만km^2 )
부산권(부산 울산 경남)은 148명 (지역인구 792.5만 명/ 면적 1.24km^2)
수도권(서울 경기 인천)은 947명 (지역인구 2592.6만 명/ 면적 1.18만km^2 )
검역 6명.. 바로 아래 그림 기준.

수도권/비수도권 확진자, 위중증, 사망자 그래프








거리두기
새 거리두기 지침이 나왔습니다.
이달 말까지 이대로 간답니다.
수도권 4단계, 비수도권 3단계 거리두기 4주간 연장(9.6.~10.3.)

상세 보도자료 링크:
보도자료 내용보기 " 사회적 거리두기 4주 연장(수도권 4단계, 비수도권 3단계) " < 뉴스 & 이슈 < 코로나바이러스감염증-19 (mohw.go.kr)



백신접종 진척률과 재고







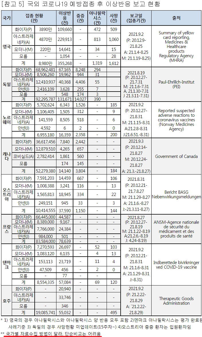
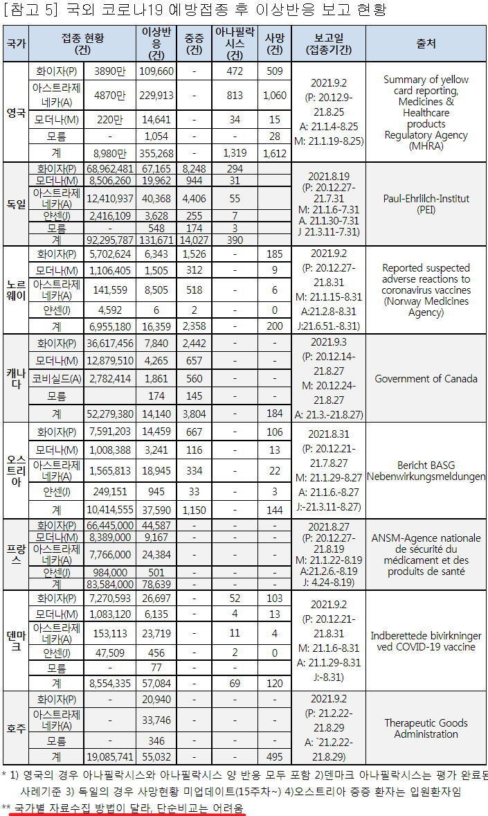
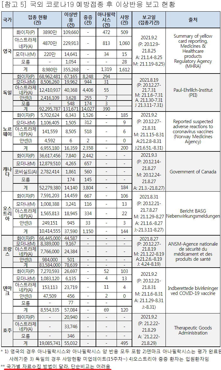
예방접종 이상반응(부작용) 집계
실제로는 훨씬 많은 사람들이 "매년 맞던 예방주사보다 훨씬 크게 온다"고 느끼지만 이 백신은 원래 좀 그렇다고 정부가 말하고 있고, 건강한 사람이라면 그러다 나아진다고 합니다. 만약 나아지지 않고 더 심해지거나 오래 끈다면 그때는 병원.
(특히 지금 다른 병으로 치료하는 중인 사람들, 심폐기능이 저하돼 있거나 뇌혈관계 질환이 있는사람, 대사질환이 있는 사람, 항혈전제 복용자 등은 접종센터에서 의사 문진때 문제없다고 해서 주사맞았으면 그 다음 1~4주 동안은 자기 몸을 잘 챙기고 변화를 체크하세요. 그리고 이런 분들은 코로나에 걸려도 치사율이 아주 높다고 하기 때문에 백신 자체를 피해서는 안 됩니다)
아래는 일단 접수된 것들. 자기 몸은 자기가 예민하게 체크하세요. 아래 집계로 보듯, 신고접수된 사례도 몸살로 끝나는 게 대부분입니다만.
전체 이상반응신고(39도를 넘는 열, 기준이상 오래가는 통증과 멍 포함)는 예방접종 241건당 1명,
중대한 이상반응신고는 예방접종 5580건당 1명,
사망자신고는 예방접종 83313건당 1명(신고접수 후 사망건 - 2021.9.4기준 246명 - 까지 합하면 801명으로 58038건당 1명이라 계산되는데, 아래 표 558+246=804라서 조금 다르다. 대강 그 정도라고 하자.)












백신 예방접종 사전예약
18~49세 사전예약은 9월 18일까지 계속 접수받습니다. 지금까지 예약안했더라도 아직 할 수 있습니다.


코로나19 예방접종 사전예약 시스템
코로나19 예방접종 사전예약 시스템
ncvr2.kdca.go.kr
전국 보건소, 예방접종 전화예약 및 문의 전화번호 링크. 위 온라인 사전예약시스템을 이용할 수 없을 때 걸어볼 수 있는 연락처입니다.
※ 만약 다른 직업군이나 취약대상으로 분류되어 예약했다가 주사를 못 맞은 사람이나, 이전에 동의하지 않았거나 통보받지 못한 채 접종거부자로 전산에 등록된 사람들은 사전예약사이트에서 온라인 접수가 안 됩니다("접수대상이 아닙니다"라고 뜹니다). 사정이 있었으면 지역 보건소에 전화걸어서 확인해 풀어줄 수 있는지 문의해보세요.


국내 백신접종 이상반응(부작용) 동향. 주간발표
https://ncv.kdca.go.kr/board.es?mid=a11707010000&bid=0032
백신접종 이상반응 문답
https://ncv.kdca.go.kr/menu.es?mid=a12208000000
코로나19 백신 및 예방접종
질병관리청 코로나19 백신 및 예방접종 정보안내
ncv.kdca.go.kr
백신접종 후, 건강상태 자기확인표(설명)
https://nip.kdca.go.kr/irgd/covid.do?MnLv1=3
예방접종 도우미 > 코로나19 예방접종 > 예방접종 후 건강상태 확인하기
nip.kdca.go.kr
https://ncv.kdca.go.kr/menu.es?mid=a10118020000



- 정식발표이후에도 추가검사결과 판정이 바뀌거나, 다른 이유로 이삼일 뒤 그래프는 다른 수치로 바뀌어있을 때가 있습니다. 사람이 히는 일이고 검사도 오차가 있을 수 있어 그 자체는 그리 신경쓸 일은 아닙니다. [본문으로]
- 수도권 아래부터 산맥으로 타 지역과 경계지어진 지역까지 [본문으로]
- 출처: 자치단체 행정구역 및 인구현황, 2019년 기준. https://www.index.go.kr/potal/main/EachDtlPageDetail.do?idx_cd=1041 [본문으로]
- 출처: KOSIS 지역별 면적 https://kosis.kr/statHtml/statHtml.do?orgId=101&tblId=DT_1ZGA17&conn_p-ath=I2 [본문으로]
'아날로그' 카테고리의 다른 글
| 코로나19, 인과성 근거 불충분 환자 의료비 지원 변경(확대) 보도자료/:/ 예방접종 이상반응(부작용) 신고 심의결과 (0) | 2021.09.09 |
|---|---|
| 코로나19 집계(2021.9.9. 0시기준)/:/ 2049명 ☆ (0) | 2021.09.09 |
| 코로나19 집계(2021.9.8. 0시기준)/:/ 2050명 (0) | 2021.09.08 |
| 코로나19 집계(2021.9.7. 0시기준)/:/ 1597명 /:/ 돌파감염 등 /:/ 1일 130만건 접종실적 (0) | 2021.09.07 |
| 코로나19 집계(2021.9.5. 0시기준)/:/ 1490명 /:/ 질병관리청, 예방접종 1차기준 3천만명+ 보도자료 (0) | 2021.09.05 |
| 코로나19 집계(2021.9.4. 0시기준)/:/ 1804명 /:/ ★ 입국자 뮤 변이 처음 확인 (0) | 2021.09.04 |
| 코로나19 집계(2021.9.3. 0시기준)/:/ 1709명 /:/★ 접종완료 32.5% (0) | 2021.09.03 |
| 코로나19, 사회적 거리두기 4주 연장(수도권 4단계, 비수도권 3단계) (0) | 2021.09.03 |
|
Viewed Posts
|
|
Recent Posts
|
