생활공공기관
도구
- 스마트폰,태블릿 화면크기비교
- 양쪽 윈도우키를 한영한자키로(AutoHotKey)
- 매크로: Robotask Lite
- 파일이름변경: ReNamer Lite
- 파일압축: 반디집
- 공공서식 한글(HWP편집가능, 개인비영리)
- 오피스: 리브레오피스(LibreOffice)
- 텍스트뷰어: 이지뷰어
- PDF: FoxIt리더, ezPDF에디터
- 수학풀이: 울프램 알파 ( WolframAlpha )
- 수치해석: 셈툴, MathFreeOn
- 계산기: Microsoft Mathematics 4.0
- 동영상: 팟플레이어
- 영상음악파일변환: 샤나인코더
- 이미지: 포토웍스
- 이미지: FastStone Photo Resizer
- 화면갈무리: 픽픽
- 이미지 편집: Paint.NET, Krita
- 이미지 뷰어: 꿀뷰
Link
- 국립중앙도서관 소장자료 검색
- KS국가표준인증종합정보센터
- 대한무역투자진흥공사(KOTRA) 해외시장뉴스
- 엔팩스(인터넷팩스발송)
- 구글 드라이브(문서도구)
- MS 원드라이브(SkyDrive)
- 네이버 N드라이브
- Box.com (舊 Box.net)
- Dropbox
- 구글 달력
- 모니터/모바일 픽셀 피치 계산
- Intel CPU, 칩셋 정보
- MS윈도우 기본 단축키
- 램디스크
- 초고해상도 관련
- 게임중독
- 표준시각
- 전기요금표/ 한전 사이버지점
- HWP/한컴오피스 뷰어
- 인터넷 속도측정(한국정보화진흥원)
- IT 용어사전
- 우편번호찾기
- 도로명주소 안내, 변환
- TED 강연(네이버, 한글)
- 플라톤아카데미TV
- 세바시
- 명견만리플러스
- 동아사이언스(과학동아)
- 과학동아 라이브러리
- 사이언스타임즈
- 과학잡지 표지 설명기사
- 칸아카데미
- KOCW (한국 오픈 코스웨어) 공개강의
- 네이버 SW 자료실
- 네이버 SW자료실, 기업용 Free
- 계산기
공공데이터베이스
PC Geek's
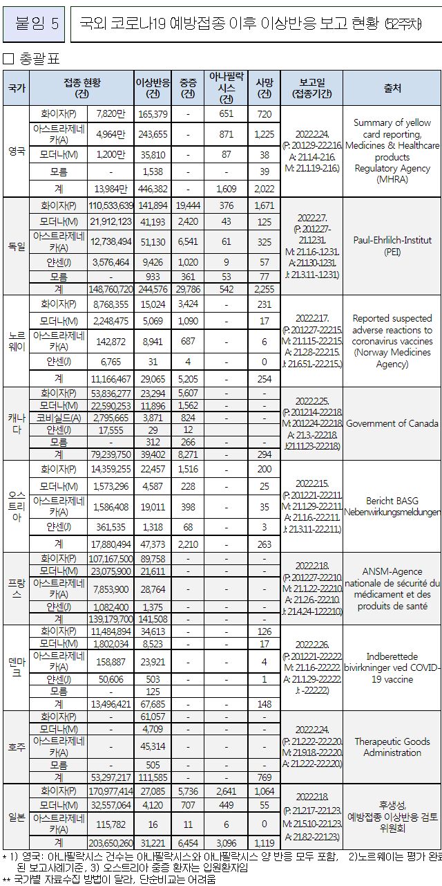
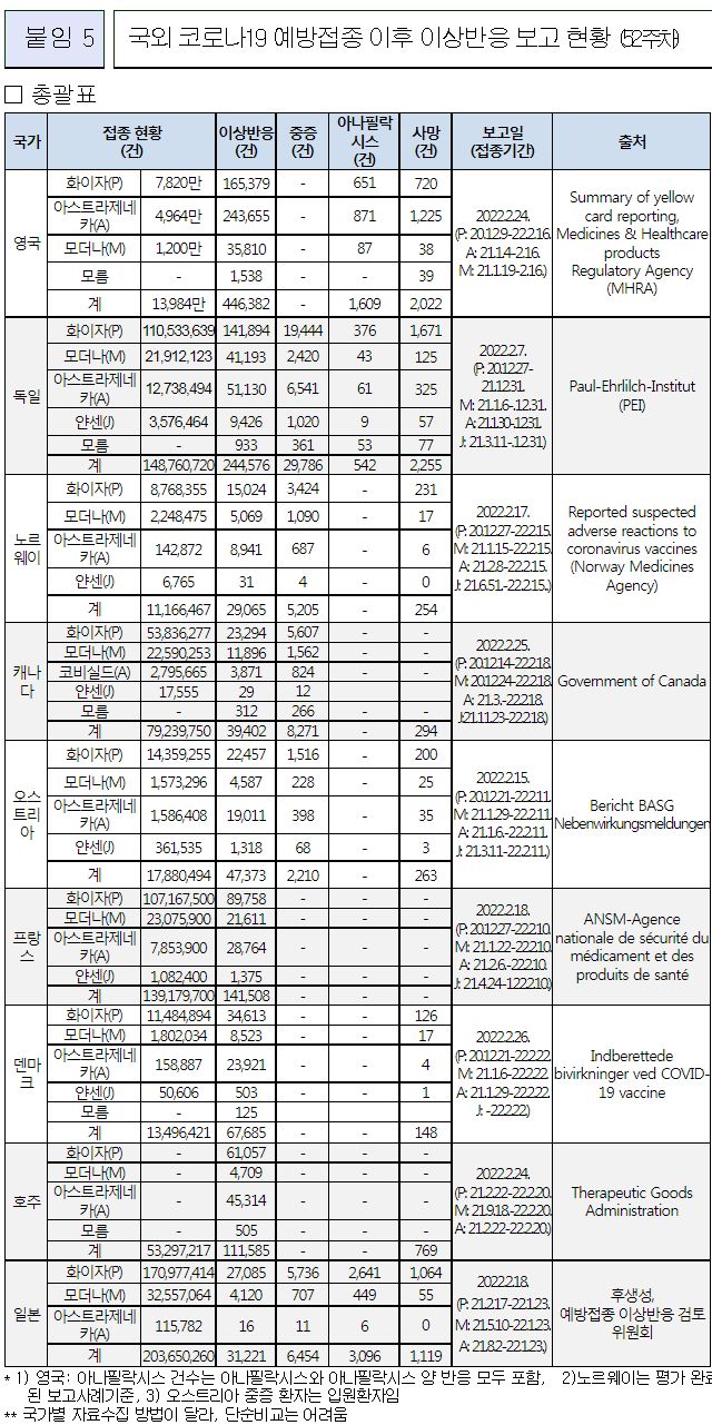
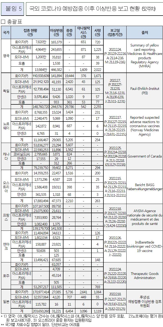
코로나19(2022.3.3) 이상반응 신고현황 주간 분석 결과(52주차)/:/ 예방접종 피해조사반의 이상반응 사례검토 결과 분석 (~2.25.) 본문
출처는 오늘자 오후 정례브리핑입니다.












'아날로그' 카테고리의 다른 글
| 라이트노벨, 만화(코믹스) 신간 무료배송상품 .. yes24, 알라딘 (0) | 2022.03.06 |
|---|---|
| 대한민국의학한림원 "급성심근염과 (코로나19)화이자·모더나 백신 접종의 상관관계가 충분하다" (0) | 2022.03.04 |
| 코로나19집계(2022.3.4. 0시기준): 어제 266853명 확진, 186명 사망/:/ 정부예상 3월 중순 하루 26~35만명 내외 발생할 (0) | 2022.03.04 |
| 코로나19, 2022.3.1 개정판: 확진자 및 접촉자 관리기준, 재택치료안내, 확진자 및 동거인 안내 등 (0) | 2022.03.03 |
| 2022. 대통령선거 3.4(금)~3.5(토) 사전투표 안내/:/ 코로나19 확진자와 격리자의 3.4~3.5사전투표와 9일 투표/:/ 투표관련 외출시 준수사항(확진자, 격리자):질병관리청 (0) | 2022.03.03 |
| 코로나19집계(2022.3.3. 0시기준): 198803명 (0) | 2022.03.03 |
| 러시아-우크라이나 전쟁이 어떻게 흘러갈지 모르겠지만 (0) | 2022.03.03 |
| 코로나19집계(2022.3.2. 0시기준): 219241명 (일일현황 사망자 96명, 재택치료 82만 명) (0) | 2022.03.02 |
Comments
|
Viewed Posts
|
|
Recent Posts
|
