생활공공기관
도구
- 스마트폰,태블릿 화면크기비교
- 양쪽 윈도우키를 한영한자키로(AutoHotKey)
- 매크로: Robotask Lite
- 파일이름변경: ReNamer Lite
- 파일압축: 반디집
- 공공서식 한글(HWP편집가능, 개인비영리)
- 오피스: 리브레오피스(LibreOffice)
- 텍스트뷰어: 이지뷰어
- PDF: FoxIt리더, ezPDF에디터
- 수학풀이: 울프램 알파 ( WolframAlpha )
- 수치해석: 셈툴, MathFreeOn
- 계산기: Microsoft Mathematics 4.0
- 동영상: 팟플레이어
- 영상음악파일변환: 샤나인코더
- 이미지: 포토웍스
- 이미지: FastStone Photo Resizer
- 화면갈무리: 픽픽
- 이미지 편집: Paint.NET, Krita
- 이미지 뷰어: 꿀뷰
Link
- 국립중앙도서관 소장자료 검색
- KS국가표준인증종합정보센터
- 대한무역투자진흥공사(KOTRA) 해외시장뉴스
- 엔팩스(인터넷팩스발송)
- 구글 드라이브(문서도구)
- MS 원드라이브(SkyDrive)
- 네이버 N드라이브
- Box.com (舊 Box.net)
- Dropbox
- 구글 달력
- 모니터/모바일 픽셀 피치 계산
- Intel CPU, 칩셋 정보
- MS윈도우 기본 단축키
- 램디스크
- 초고해상도 관련
- 게임중독
- 표준시각
- 전기요금표/ 한전 사이버지점
- HWP/한컴오피스 뷰어
- 인터넷 속도측정(한국정보화진흥원)
- IT 용어사전
- 우편번호찾기
- 도로명주소 안내, 변환
- TED 강연(네이버, 한글)
- 플라톤아카데미TV
- 세바시
- 명견만리플러스
- 동아사이언스(과학동아)
- 과학동아 라이브러리
- 사이언스타임즈
- 과학잡지 표지 설명기사
- 칸아카데미
- KOCW (한국 오픈 코스웨어) 공개강의
- 네이버 SW 자료실
- 네이버 SW자료실, 기업용 Free
- 계산기
공공데이터베이스
PC Geek's
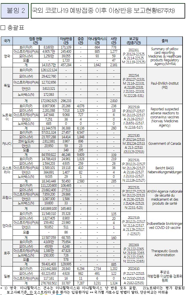
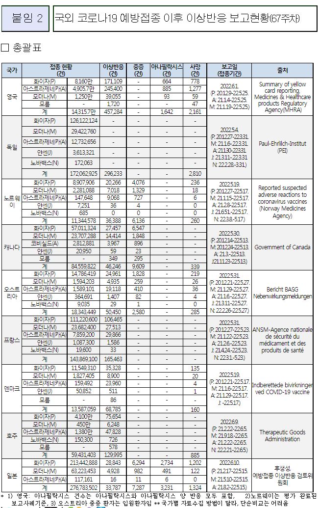
코로나19(2022.6.16) 이상반응 신고현황 주간 분석 결과(67주차) 본문
심의결과회의는 없었습니다. 어쩌면 한 달에 1~2 번으로 줄일지도 모르겠군요.
일부 발췌합니다.



















'아날로그' 카테고리의 다른 글
| 코로나19집계(2022.6.18. 0시기준): 확진 +6842명, 사망 +11명, 재택치료 4.4만(집중관리 2.4천)/:/★7일자가격리유지+4주단위 재평가. 병원,요양시설 방역지침 완화 (0) | 2022.06.18 |
|---|---|
| 코로나19집계(2022.6.17. 0시기준): 확진자 +7198명, 사망자 +9명, 재택치료 4.4만(집중관리 2.4천) (0) | 2022.06.17 |
| 코로나19(2022.6.8. 갱신) 확진자, 동거인 안내문 (0) | 2022.06.17 |
| 코로나19(2022.6.16) 예방접종 추진 현황, 4차접종 관련 통계, 재감염 추정사례 등 (0) | 2022.06.17 |
| 코로나19집계(2022.6.16. 0시기준): 확진 +7994명, 사망 +8명, 재택치료 4.6만(집중관리 2.7천) (0) | 2022.06.17 |
| 코로나19집계(2022.6.15. 0시기준): 확진 +9435명, 사망 +8명, 재택치료 ?(집중관리 ?) (0) | 2022.06.15 |
| 원숭이두창관련 보도자료(2022.6.14) (0) | 2022.06.15 |
| 코로나19(2022.6.14) 항체양성 조사결과 및 전국단위 조사계획 (0) | 2022.06.15 |
Comments
|
Viewed Posts
|
|
Recent Posts
|
