생활공공기관
도구
- 스마트폰,태블릿 화면크기비교
- 양쪽 윈도우키를 한영한자키로(AutoHotKey)
- 매크로: Robotask Lite
- 파일이름변경: ReNamer Lite
- 파일압축: 반디집
- 공공서식 한글(HWP편집가능, 개인비영리)
- 오피스: 리브레오피스(LibreOffice)
- 텍스트뷰어: 이지뷰어
- PDF: FoxIt리더, ezPDF에디터
- 수학풀이: 울프램 알파 ( WolframAlpha )
- 수치해석: 셈툴, MathFreeOn
- 계산기: Microsoft Mathematics 4.0
- 동영상: 팟플레이어
- 영상음악파일변환: 샤나인코더
- 이미지: 포토웍스
- 이미지: FastStone Photo Resizer
- 화면갈무리: 픽픽
- 이미지 편집: Paint.NET, Krita
- 이미지 뷰어: 꿀뷰
Link
- 국립중앙도서관 소장자료 검색
- KS국가표준인증종합정보센터
- 대한무역투자진흥공사(KOTRA) 해외시장뉴스
- 엔팩스(인터넷팩스발송)
- 구글 드라이브(문서도구)
- MS 원드라이브(SkyDrive)
- 네이버 N드라이브
- Box.com (舊 Box.net)
- Dropbox
- 구글 달력
- 모니터/모바일 픽셀 피치 계산
- Intel CPU, 칩셋 정보
- MS윈도우 기본 단축키
- 램디스크
- 초고해상도 관련
- 게임중독
- 표준시각
- 전기요금표/ 한전 사이버지점
- HWP/한컴오피스 뷰어
- 인터넷 속도측정(한국정보화진흥원)
- IT 용어사전
- 우편번호찾기
- 도로명주소 안내, 변환
- TED 강연(네이버, 한글)
- 플라톤아카데미TV
- 세바시
- 명견만리플러스
- 동아사이언스(과학동아)
- 과학동아 라이브러리
- 사이언스타임즈
- 과학잡지 표지 설명기사
- 칸아카데미
- KOCW (한국 오픈 코스웨어) 공개강의
- 네이버 SW 자료실
- 네이버 SW자료실, 기업용 Free
- 계산기
공공데이터베이스
PC Geek's
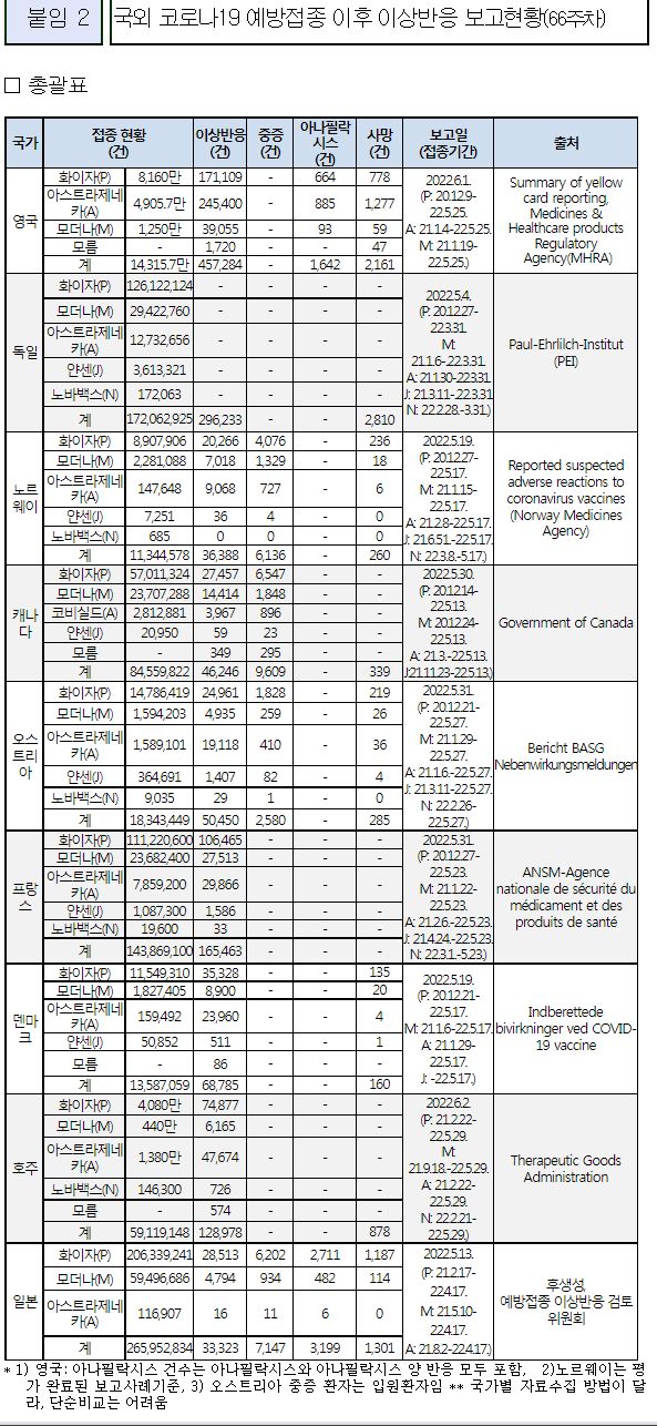
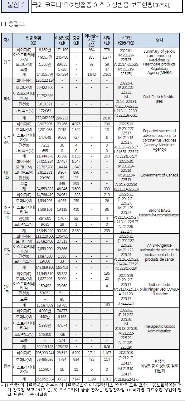
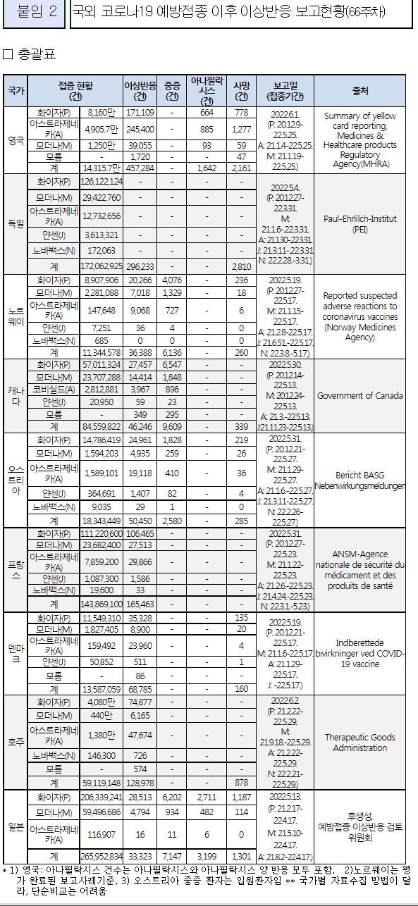
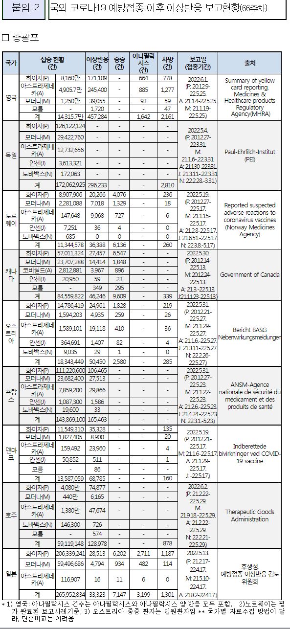
코로나19(2022.6.9) 이상반응 신고현황 주간 분석 결과(66주차)/:/ ’22년 제11차 코로나19 예방접종피해보상 전문위원회 결과 본문
링크먼저 하고, 나중에 갈무리합니다.
코로나바이러스감염증-19
코로나바이러스감염증-19 정식 홈페이지로 발생현황, 국내발생현황, 국외발생현황, 시도별발생현황, 대상별 유의사항, 생활 속 거리 두기, 공적마스크 공급현황, 피해지원정책, 홍보자료, FAQ, 관
ncov.mohw.go.kr
예방접종 집계 및 60세 이상 연령층 4차접종관련


’22년 제11차 코로나19 예방접종피해보상 전문위원회 결과









이상반응 신고현황 주간 분석 결과(66주차)
















.
인과성 인정 및 관련성 질환 기준

'아날로그' 카테고리의 다른 글
| 코로나19집계(2022.6.11. 0시기준): 확진 +8442명, 사망 +10명, 위중증병상가동률 8%, 재택치료 ?(집중관리 ?) (0) | 2022.06.12 |
|---|---|
| 코로나19 검사‧진료‧입원 체계 개편(2022.6.10) (0) | 2022.06.12 |
| 코로나19집계(2022.6.10. 0시기준): 확진 +9281명, 사망 +18명, 위중증병상가동률 8%, 재택치료 6.5만(집중관리 3.5천) (0) | 2022.06.12 |
| (에픽게임즈 무료게임) Maneater (0) | 2022.06.10 |
| 코로나19(2022.6.9. 0시기준): 확진 +9315명, 사망 +18명, 위중증병상가동률 9%, 재택치료 6.9만(집중관리 3.6천) (0) | 2022.06.10 |
| 질병관리청, 예방용 코로나19 항체치료제 ‘이부실드’ 도입계획 (0) | 2022.06.10 |
| 코로나19집계(2022.6.8. 0시기준): 확진 +1.3만 명, 사망 +6명, 위중증병상가동률 9%, 재택치료 6.8만(집중관리 3.5천) (0) | 2022.06.08 |
| 코로나19(2022.6.7) 주간발생동향 및 위험도 평가 (0) | 2022.06.08 |
Comments
|
Viewed Posts
|
|
Recent Posts
|
